240SM-2 - ANALISI COMPLESSA 2025
Schema della sezione
-
Per iscriversi al team del corso su Microsoft Teams è necessario il codice reperibile nel catalogo della didattica digitale a questo indirizzo:Iscrivendosi al team si ha la possibilità di visionare le registrazioni delle lezioni, archiviate nella cartella "recordings", a cui si accede clickando su "file" nel menu un alto.Il tutorial per l'ultilizzo di Teams si può scaricare a questo indirizzo:
-
-
appunti 1 File PDF
Generalità sui numeri complessi. Differenziabilità complessa. Equazioni di Cauchy Riemann.
-
appunti 2 File PDF
Serie di potenze. Raggio di convergenza, derivabilità e primitivabilità. L'esponenziale e le funzioni trigonometriche
-
esercizi 1 File PDF
-
-
-
appunti 3 File PDF
Integrazione su cammini. Teorema di Cauchy-Goursat. Teorema di Cauchy su un dominio stellato.
-
appunti 4 File PDF
Formula di Cauchy. Sviluppo in serie di potenze di funzioni olomorfe. Teoremi di Liouville, Morera e Weierstrass. Teorema fondamentale dell'algebra.
-
esercizi 2 File PDF
-
-
-
appunti 5 File PDF
Ordine di uno zero di una funzione olomorfa. Comportamento di una funzione olomorfa vicino a uno zero di ordine finito. Teorema della mappa aperta. Principio di unicità. Principio del massimo. Lemma di Schwartz.
-
appunti 6 File PDF
Il logaritmo e le potenze come funzioni olomorfe
-
esercizi 3 File PDF
-
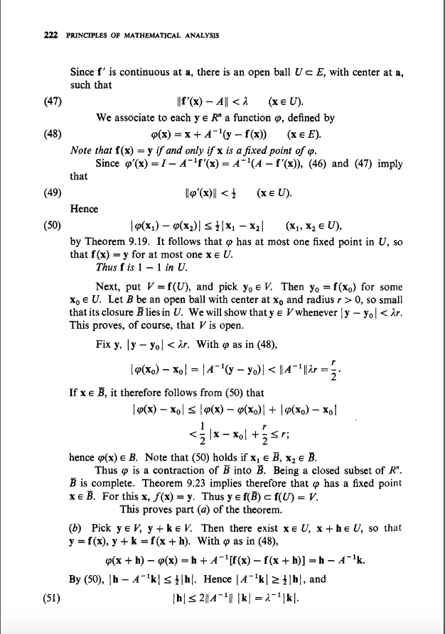
TEOREMA DELLA FUNZIONE INVERSA
da Rudin, "Principles of mathematical analysis".
occhio alla notazione f'(x) per indicare il differenziale di Frechet Df(x)
-
-
-
-
appunti 7 File PDF
Singolarità di funzioni olomorfe. Serie di Laurent. Singolarità removibili, poli e singolarità essenziali. Teorema di Casorati Weierstrass.
-
appunti 8 File PDF
Indice di avvolgimento. Lemma del "cane al guinzaglio". Omotopie e invarianza dell'indice.
-
esercizi 4 File PDF
-
esercizi 5 File PDF
-
-
-
appunti 9 File PDF
Catene e cicli. Il teorema di Cauchy globale. Il teorema dei residui. L'indice di annullamento di una funzione e il Teorema di Rouché.
-
appunti 10 File PDF
Calcolo di integrali impropri via calcolo dei residui.
-
esercizi 6 File PDF
-
esercizi 7 File PDF
-
-
-
appunti 11 File PDF
Cenni sull'omologia di un aperto in C. Caratterizzazione degli aperti semplicemente connessi.
-
appunti 12 File PDF
Successioni di funzioni olomorfe e teorema di Montel. Gruppo di Moebius. Teorema della mappa di Riemann.
-
da "Foundations of modern analysis" di A. Friedman.
-
da rudin, "real and complex analysis", pag. 268-269
-
esercizi 8 File PDF
-
-
-
appunti 13 File PDF
funzioni armoniche. esistenza dell'armonica coniugata in domini semplicemente connessi. principio del valor medio e principio del massimo per funzioni armoniche.
-
principio del massimo per funzioni armoniche (caso semplice)
-
appunti 14 File PDF
Il problema di Dirichlet nel disco. Nucleo di Poisson. Esistenza e unicità della soluzione (teorema di Schwarz). Calcolo esplicito della soluzione nel caso dei polinomi trigonometrici.
-
appunti 15 File PDF
Completezza del sistema dei polinomi trigonometrici
-
Derivazione della formula di rappresentazione di Poisson
-
esercizi 9 File PDF
-